Добавить новость


«Мировое обозрение»


Новости сегодня

Новости от TheMoneytizer

Заглянуть в 3025 год: как 10 моделей эволюции Земли помогут в охоте за инопланетной жизнью

Человечество десятилетиями слушало радиоэфир в надежде поймать сигнал аналога «Вояджера» от другой цивилизации. Но что, если инопланетяне не хотят общаться? Просто живут, жгут топливо, строят города и выращивают еду? Новое исследование NASA и Института Blue Marble предлагает, вместо поиска осмысленных посланий, начать искать космический мусор, промышленный смог и свет ночных мегаполисов.


Проблема поиска внеземного разума (SETI) всегда упиралась в то, что у нас есть только один пример технологической цивилизации — мы сами. Пытаясь представить, как могут выглядеть «зеленые человечки», мы все равно проводим аналогии с собой. Группа ученых под руководством Джейкоба Хакк-Мисры решила превратить этот недостаток в метод. Они смоделировали десять вариантов развития Земли на ближайшие 1000 лет и проверили, какие из этих «будущих Земель» смогут заметить телескопы следующего поколения.


Рендер HOW
Автор: By NASAs Scientific Visualization Studio Источник: commons.wikimedia.org

Результаты этого моделирования — дорожная карта для обсерватории Habitable Worlds Observatory (HWO), запуск которой NASA планирует на 2040-е годы.

Когда прогресс пахнет гарью: сценарии «Грязных миров»

Самый верный способ найти развитую цивилизацию — это найти её отходы. Промышленное производство оставляет в атмосфере химические отпечатки, которые природа создать не в силах. Исследование показало, что телескоп HWO, работающий в оптическом и ближнем инфракрасном диапазоне, лучше всего справится с обнаружением миров, которые пошли по пути агрессивной индустриализации.


Среди смоделированных вариантов будущего выделяется группа сценариев, которые ученые условно назвали бы «кошмаром эколога», но «мечтой астронома».

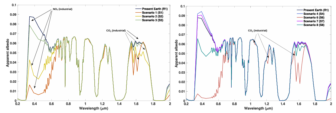
В сценарии S1 (Лазерный геоинжиниринг) цивилизация доводит концентрацию CO₂ до критических 11 000 ppm (сегодня на Земле около 420 ppm). Чтобы выжить, они вынуждены распылять диоксид серы в стратосфере, отражая солнечный свет. Для внешнего наблюдателя такая планета будет сиять маркерами загрязнения: диоксид азота (NO₂) в паре с углекислым газом.

Похожая картина наблюдается в сценариях S2 (Фабрика и ферма) и S6 (Токсичный гигант). В сценарии S6 индустриализация достигает таких масштабов, что планета буквально накачивается долгоживущими парниковыми газами вроде тетрафторметана (CF₄), а для охлаждения приходится строить гигантские космические экраны. Для телескопа это самые понятные цели: спектральные провалы в атмосфере будут настолько глубокими, что их невозможно списать на вулканы. Даже умеренный сценарий S3 (Инерционный рост), где развитие идет без радикальных экологических реформ, оставляет достаточно NO₂, чтобы телескоп зафиксировал аномалию.

Сравнение спектров различных сценариев будущего с современной Землей (R1). На графике отчетливо видны следы промышленной деятельности: поглощение NO2 в коротковолновом диапазоне и CO2 в ближнем инфракрасном. «Зеленые» сценарии S5, S9 и S10 здесь не показаны, так как их спектр идентичен чистой Земле доиндустриальной эпохи (R0).
Автор: Haqq-Misra et al. arXiv:2511.20329 [astro-ph.EP] Источник: arxiv.org
Парадокс «Зеленой невидимки»

Однако чем эффективнее, чище и устойчивее становится цивилизация, тем сложнее её найти.

Ученые рассмотрели сценарии S4 (Чистая эффективность) и S7 (Экологическое равновесие). В этих мирах человечество либо радикально сократило потребление, либо перешло на технологии замкнутого цикла, вернув атмосферу к состоянию доиндустриальной эпохи. Уровень CO₂ здесь ниже, чем на современной Земле.

Для оптического телескопа HWO такие планеты будут выглядеть просто как обитаемые миры с биосферой. Мы увидим кислород и воду, но не увидим техносферу.

Агрокультура и ночные огни: специфические маркеры

Если воздух слишком чист, астрономам придется искать другие факторы. Например, следы глобального сельского хозяйства. В сценарии S8 (Агро-сверхдержава), где планета превращена в гигантскую ферму для прокорма огромного населения, атмосфера насыщается специфическим коктейлем: метан (CH₄), оксид азота (N₂O) и аммиак (NH₃). В сочетании с остаточными промышленными фреонами это создает уникальный спектральный отпечаток, который может засечь не оптический HWO, а инфракрасный интерферометр LIFE.

Другой хороший индикатор — свет. В сценарии S5 (Экуменополис) Земля представляет собой сплошной город. Несмотря на то, что воздух здесь чист (технологии позволяют), планету выдает ночная сторона. Спектральные линии натрия от уличного освещения и, возможно, тепловое излучение островов тепла станут маяком для приборов. В том же сценарии S1 (где много смога) к этому добавляются узконаправленные лазерные импульсы, используемые для межпланетной связи или разгона кораблей.

То, что увидит телескоп LIFE в среднем инфракрасном диапазоне. Слева — сравнение дикой (R0) и современной (R1) Земли. В центре и справа — спектры для различных сценариев будущего. Сценарии S5, S9 и S10 не показаны, так как они неотличимы от R0. На графиках четко видны маркеры промышленности (CO2, NO2, CFC-11, CFC-12) и масштабного сельского хозяйства (N2O, NH3, CH4).
Автор: Haqq-Misra et al. arXiv:2511.20329 [astro-ph.EP] Источник: arxiv.org
Ловушка космической экспансии

Самые интересные сценарии — это те, где цивилизация переросла свою планету. В моделях S9 и S10 человечество возвращает Землю в первозданное, дикое состояние, перенося всю тяжелую индустрию в космос.

В S9 активность смещается на Марс и орбиту Венеры, где строятся защитные экраны. В S10 (Венерианские промышленники) заводы парят в облаках Венеры, загрязняя атмосферу соседней планеты. Для астронома это создаст путаницу. Наблюдая «Землю-аналог» в такой системе, мы не увидим ничего интересного. Техносигнатуры будут исходить от соседних планет, на которые мы можем даже не направить главный фокус телескопа. Чтобы подтвердить наличие разума в таких системах, потребуется технология совершенно иного уровня — Солнечная гравитационная линза (SGL). Только отправив телескоп на расстояние 650 астрономических единиц от Солнца, мы сможем получить прямое изображение поверхности экзопланеты и разглядеть на ней города или терраформированные участки Марса.


Кто и что увидит: сводка возможностей будущих миссий для каждого сценария. Таблица показывает, какие следы технологий доступны для обнаружения. Более темные цвета указывают на случаи, когда один телескоп сможет зафиксировать сразу несколько разных техносигнатур (улик).
Автор: Haqq-Misra et al. arXiv:2511.20329 [astro-ph.EP] Источник: arxiv.org

Вывод: нужен мультиинструментальный подход

Исследование Blue Marble подводит нас к выводу что волшебного самодостаточного метода не существует.

  • Оптические телескопы (HWO) найдут «грязные» молодые цивилизации.
  • Инфракрасные миссии (LIFE) смогут засечь фреоны развитых аграрных миров.
  • Радиотелескопы могут поймать сигналы маяков из сценариев типа S1 или S5.
  • А для обнаружения самых продуманных и скрытных цивилизаций нам придется строить флотилии для гравитационного линзирования.

Вселенная может молчать не потому, что она пуста, а потому что мы пока умеем искать только тех, кто похож на нас сегодняшних — шумных и не слишком заботящихся о своей экологии.

Источник:arXiv

Изображение в превью:
Автор: By NASAs Scientific Visualization Studio
Источник: commons.wikimedia.org

Читайте на сайте


Smi24.net — ежеминутные новости с ежедневным архивом. Только у нас — все главные новости дня без политической цензуры. Абсолютно все точки зрения, трезвая аналитика, цивилизованные споры и обсуждения без взаимных обвинений и оскорблений. Помните, что не у всех точка зрения совпадает с Вашей. Уважайте мнение других, даже если Вы отстаиваете свой взгляд и свою позицию. Мы не навязываем Вам своё видение, мы даём Вам срез событий дня без цензуры и без купюр. Новости, какие они есть —онлайн с поминутным архивом по всем городам и регионам России, Украины, Белоруссии и Абхазии. Smi24.net — живые новости в живом эфире! Быстрый поиск от Smi24.net — это не только возможность первым узнать, но и преимущество сообщить срочные новости мгновенно на любом языке мира и быть услышанным тут же. В любую минуту Вы можете добавить свою новость - здесь.




Новости от наших партнёров в Вашем городе

Ria.city
Музыкальные новости
Новости России
Экология в России и мире
Спорт в России и мире
Moscow.media










Топ новостей на этот час

Rss.plus